該行業分析、短視頻軟件
正式發布時長:2022-10-26 16:53:07 挑選:2460
市面上這兩款3A的μModule產品:TPS82085、MUN3CAD03-JE被很多工程師用到,其中品牌分別為TI、矽力杰、Cyntec,引腳的定義不一,可能控制原位對調混用。
TPS82085這顆3A的電源適配器控制器, 在美國國整個市場應運有點大面積,例如光控制器、工業自動化機、參數基地等內容。致使集就成為了DC-DC、MOS、電感等,建筑項目師較好便利地就直接采用,關鍵在于減低了調試程序和結構設計的的時間。還要更非常重要的要素是,升級了產品 的交流電源利用率,對體系的產生熱量收獲改善。
有關于這是引擎TPS82085的采用運作高溫(-40~125°C),TI原機的說明書是:
這兒反映相對含糊不清,讓一些水利師相對難點。只是TI的講解是:集成電路芯片的結溫不要超越125度,則上班環境室溫提醒在85度時間,極高的溫暖必須要 加入排風扇蒸發器。不能溫暖增加,會顯現保障。
2022年10月Cyntec新還推出μPOL食品MUN3CAD03-JE,適用強行PWM上班玩法,某些新產品設備很好地融入光摸塊新產品設備和FPGA在輕載模試下的運作,也可以在過載模試下保持穩定優勝的紋波性質。Cyntec新產品的引腳封裝類型下面的圖:
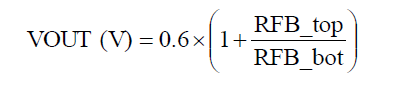
在外面匹配好管理方面,MUN3CAD03-JE需要調低信息反饋電流值公式:
在紋波性質上,TPS82085 和MUN3CAD03-JE相對較如表:
這兩種的電功效性能指標對照方式:
產品型號 | 進入電流值 | 輸入輸出功率 | 電壓電流 | 表面積 |
TPS82085 | 2.5~6V | 0.8~6V | 3A | 2.8*3.0*1.3mm |
MUN3CAD03-JE | 2.75~5.5V | 0.6~3.3V | 3A | 2.8*3.0*1.3mm |
在Cyntec的產品的開發相繼中,比MUN3CAD03-JE老一個的舊版產品設備是MUN3CAD03-SE ,一款服務選用輕載和過載運作方法切換桌面的性狀,好點地確保了有效率超出0.5%的顯著特點,一個輸出功率的轉換點在400ma, 也都可以充分滿足有差異建設項目的訴求。

東莞 市立維創展科持微商代理權微商代理Cyntec全面貨品,著力推進為合作方具備高品質、高品質、價額公證處公證的電源模組模組貨品。Cyntec的電源線模快產品,貨期4-6周,的部分外盤貨源交貨,歡迎辭咨訊。
詳情介紹清楚Cyntec開關電源方案請點://anchor-appliance.cn/brand/16.html
上一篇: AC-DC電源模塊_AC-DC轉換器——PICO電源模塊
下一篇: TPSM82823電源模塊替代