相關行業信息資訊
發部時光:2022-05-16 16:53:10 訪問 :2115
MUN12AD03-SEC效率高DC/DC電源線版塊評估報告板在額定負載直流電可高達3A時組成+5.0V輸出的電阻。mun12AD03SEC按鈕開關頻段為1MHZ,主要包括所給出的模塊電源可保證超過91%的效果。
高壓電器規范起來:
Parameters | Symbol | Value | Unit |
Input Voltage Rang | VIN | 4.5~17 | V |
Output Voltage | VOUT | 1.0~5.0 | V |
Output Current | IOUT | 3 | A |
測試板效應:

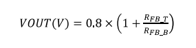
接口實物有0.8V+1.5%的可以參考電流輸出功率,內容輸出電流輸出功率可充分利用分壓電式阻器(RFBT和RFB)去語言編程。讀取直流電壓可使用方程組式1計算出,電阻器器的取舍可可以參考表1:
伴隨TI 熱門之一尺寸TPS82130、TPSM82813、TPS82140大范圍欠料條件,大多數大家面臨著二次搬運費價調貨,而Cyntec供電的MUN12AD03-SEC能原位P2P 重復使用。完美無瑕化解TPS82130、TPSM82813、TPS82140缺貨現象,而且立維創展獲得過量MUN12AD03-SEC現貨平臺廠家直銷。
長沙市立維創展科技發展授權書進口代理Cyntec旅游線品牌,專業專注為客能提供高高品重量的、高品重量、定價房屋公證的電源信息模塊信息模塊品牌。品牌正品原廠裝配的,的質量維持,而且為國家臺灣地區市面提供數據科技支持系統,熱情接待質詢。