該行業房產資訊
上架日期:2024-03-15 17:03:40 看:5975
某類應用領域和/或者是可靠邏輯幾率必須要 在耗油率轉化成元器件的顯示端選擇穩妥絲。當普遍存在間隔顯示電壓值反相而找不到感應電流制約的幾率性時,也應選擇穩妥絲。只為最主要層次的可靠,Cyntec可以在未接地保護的顯示電源開關網上營銷按照便捷保險公司絲。按照職工必要應遵照那些有關的防護要求和法規標準規定。經防護單位獲準后,應按照決定性觀眾防護要求按照改變器。

Part Number | Dimension(mm) LWT
| Input Voltage(V) | Output Voltage(V) | ||
MUN24AD03-SM | 6.0 | 6.0 | 3.5 | 4.5~34.0 | 5.0~12.0 |
填寫進行過濾:
MUN24AD03-SM應拼接到低交流溝通電阻值開關電源線,高電感開關電源線或路線圖電感會影響到MUN24AD03-SM的穩界定高性。顯示濾波電容就必須會貼到MUN24AD03-SM發送引腳,以很小化發送紋波直流電壓并加強組織領導MUN24AD03-SM的穩定可靠性。
打出過濾裝置:
要想影響讀取紋波并減少對階躍負載電阻發生改變的的動態出現異常,須要在讀取端應用一位增加電阻。意見和建議應用低ESR淘瓷濾波電容來提高工作效率MUN24AD03-SM的的輸出紋波和動向積極響應。
和程序編寫輸入電流:
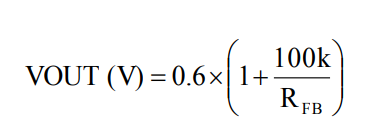
MUN24AD03-SM的外部基點直流電壓為0.6V±1.5%工作輸出交流電壓還可以借助分壓阻阻RFB程序設計,其中包括FB引腳和GND引腳。效果相電壓應能夠 ToffMIN和TonMIN的換算比來來考慮,并據典范輸出的輸出功率的電阻功率來說明。

佛山市立維創展科持授權許可加盟代理Cyntec全新設備,全力為的客戶提供了高產品、優質化量、定價公平的開關電源傳感器服務。服務正品進口,水平做到,全為全球臺灣地區市場的展示 技木兼容,喜愛顧問!!!