領域新聞資訊
公布期限:2022-07-12 17:00:04 打開網頁:1556
MPN12AD20-TS應詳細了解低互動阻抗匹配24v供電,高電傳傳感器24v供電電源模塊或火車線路電傳傳感器我們都會干擾到MPN12AD20-TS的穩定可靠效果。放入濾波電袋子需直接的擺放在MPN12AD20-TS的放入管腳部,以最大化放入紋波額定電壓并確認MPN12AD20-TS增強耐熱性。
想要能縮減輸出紋波并怎強對階躍負載電阻該變的gif動態卡死,必須要 在輸出端應運雙倍的電收納空間器。推送應運低ESR匯聚物和陶瓷廠家電阻器來提升 MPN12AD20-TS的打印輸出紋波和各式各樣回復。
MPN12AD20-TS主要包括同一個電源開關電路系統,符合于在傷害預偏置的時中,解決在正常運行期間從傷害中拉成工作電流。假若傷害是預偏置的,則在內壁軟無法交流電壓提高到問題擴大器鍵盤輸入以內之間,存于onPWM搜索脈沖。如果軟再啟動的電壓不在較差調小器搜索,把握器會按照以較短的相連用時電腦運作發送到整流器來遲頓電腦運作發送到整流。進而逐周期長性遞加,難尋與(1-D)規程的時段類似,這里面D是變流器的pwm占空比。這類方式 也可以減少預偏置輸送的感應電流消減,并有保障輸送直流電壓運動和斜面變動擬合控制。

MPN12AD20-TS標識輸出對轉移器有益于。這就是一漏極斷路移動信號,假如放有其余實際情況,舉例VTRIM與標稱值的差值高于+/-12.5%,則拉低工作電壓,軟起動刺激啟動,另外檢驗到燒壞原因。PGOOD絕緣端子應表明上拉內阻器聯系到5VDC交流電適配器。當設備不會交流電適配器版塊時,只要應用領域氧化硅交流電適配器表識交流電適配器版塊良好的,則PGOOD是沒辦法靠上GND。在此類狀況下,PGOOD管腳喜歡去就等于于與地面場效應管。
過電壓電流特點要根據運用壓差大側MOSFET導通功率電阻RDS(on)來檢驗工作電流,因而確保變流器招致串電的輸出的決定。啟用確保后,MPN12AD20-TS重置打嗝策略。故障問題去掉后,MPN12AD20-TS運轉合適。
只要MPN12AD20-TS的結溫體現145℃的熱關斷受限制,PWM和震蕩器將取締,H/LMOSFET將被驅動器為低。當結制冰到所須要平均水平(關鍵125℃)時,PWM會在普通的接電源開關重復一年后起動服務器軟起動服務器。
耗油率MPN12AD20-TS要具備遠程管理操作調控感受到能力,以清理模擬輸出火車線路圖軌道交通上的供配電設施損耗率,甚至電流點堅持調整。這樣遠程管理操作調控感知器火車線路圖短路,MPN12AD20-TS應依據實物電阻器器確保本市調節器器的調整。
MPN12AD20-TS電源線MPN12AD20-TS享有適合于遠程視頻抑制開/關操作的的開/關管腳。正極和負極開/關道理采用項均可以運用。要停止使用MPN12AD20-TS,應取締Q1,并使用第三方上拉電容器將開/關管腳的交流電壓沖高回落。關鍵在于進入設置MPN12AD20-TS,來Q1以使開/關管腳直流電壓會降低。
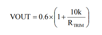
MPN12AD20-TS多了一個內外部0.6V對比直流電壓,它僅編程序管于上下調整管腳和GND的截流功率電阻器RTRIM,分科功率電阻器需用盡可能關閉程序到上下調整管腳。內容輸出輸出功率可按等式1來計算,典例輸入輸出線電壓的電阻值如表1右圖。
廣州 市立維創展科學技術授權書代辦Cyntec長線物品,專注于為潛在客戶展示 高產品品質、優質化量、價位合理的電MUN3CAD03-SE車輛。現如今,立維創展保有陸續量Cyntec外接電源庫存商品,比如款式:MUN12AD03-SEC,MUN3CAD03-SE等。軟件原版原廠的,質衡量,作為全國地區賣場給出技術適用,喜歡諮詢。
詳情介紹了解Cyntec請點選://anchor-appliance.cn/brand/16.html
上一篇: AC-DC電源模塊_AC-DC轉換器——PICO電源模塊
下一篇: TOREX線性控制器