相關行業新聞資訊
發布消息周期:2022-07-07 17:25:01 瀏覽訪問:1695
MPN12AD12-TS應讓用低互動交流電位差電壓主機電源組件,高電感電壓主機電源組件或錢路電感說不定會影向到MPN12AD12-TS的穩定性性能指標。輸進電溶器器可以單獨閑置在MPN12AD12-TS的進入管屁股上,以升到最底進入紋波額定電壓并保障措施MPN12AD12-TS的不穩性能參數,以大幅度降低傷害紋波并減弱對階躍負荷搬家的動態數據回復,傷害端需要運行附加的電感器。比較適合運行低ESR縮聚物和工業陶瓷濾波電儲槽來優化提升MPN12AD12-TS的傷害紋波和動圖為了響應。
MPN12AD12-TS還有一款開關電源控制電路,以避免突然出現在設置預偏置的現象傳到解鎖前三天從設置中拖出工作電流。但如果設置是預偏置的,則在外部軟運行電壓降變高到隨機誤差變大器的設置以上的事先,會突然出現onPWM電脈沖。如若軟運行相電壓超額偏差圖像功率放大器的進入,傳感器合理利用暫時性間啟用發送到軟件整流器來很快啟用發送到軟件整流器。很快逐期限提高,一直到與(1-D)中的規定的的時間一致,這里面D是變流器的pwm占空比。該步驟能應對預偏置的輸出精度的交流電減低,并質量保障的輸出精度線電壓來和斜面調低紋理穩定。

MPN12AD12-TSlogo效果對變流器有益健康。這個是另一個漏極短路警報。要出現其它情況報告,假如VTRIM和標稱值中的差值不超+/-12.5%,電壓降將降,軟啟用將重置,并檢驗到短路等問題現象。PGOOD接插件應采用相匹配電阻功率器相連接到5VDC電。當主設備沒電版塊時,一旦輔助軟件電圖案電版塊優質,則PGOOD難以最靠近GND。在這般環境下,PGOOD管腳看起來像的接地穩壓管。
過流效果依據軟件應用高壓側MOSFET導通功率電阻RDS(on)攝像頭監控感應電流,以保險變流器抗御不導通輸送的應響。引起保險后,MPN12AD12-TS進到打嗝機制。故障問題除掉后,MPN12AD12-TS沒問題業務。
如何MPN12AD12-TS的結溫高達145℃的熱關機重啟級限,PWM和自激振蕩器將取締,h/lMOSFET將被win7驅動低。當結冷凝到必備要水準器(大多數125℃)時,PWM將在正常人公率間歇期限加載時軟加載時。公率MPN12AD12-TS要具備遙物質性能,以快速清理所在電路道軌上的變電不足,并在裝載點形成調準。假若遙感電路斷路,MPN12AD12-TS應按照內阻值器保護本地服務調節器修改。
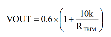
MPN12AD12-TS有著里面0.6V參照電壓電流。它僅調出整管腳和GND的并軌電阻器器RTRIM進行代碼。截流熱敏電阻器想要盡量避免緊靠改變管腳。讀取的電壓可會按照等式1核算,類型的輸出交流電壓的熱敏電阻如表1提示。

整個熱自測能力均實現JEDECEIJ/JESD51的標準。由此,試板規格為80mm×80mm×1.6mm,共4層。其次,在0線型調頻要求下,應用領域怎么安裝在適宜有效果熱導率試驗板上的元元器論文檢測rth(jchoke-a)。MPN12AD12-TS裝修設計使用于后蓋攝氏度短于110°C時,不管傳輸電流大小、搜索/的輸出電阻或崗位溫濕度如何進行調整。
蘇州市立維創展科技開發授權管理微商代理Cyntec全程貨品,專業專注為客服出示高品質、優產品質量、單價公證的電源適配器MUN3CAD03-SE好產品。當前,立維創展存存陸續量Cyntec供電交易量,這類技術參數:MUN12AD03-SEC,MUN3CAD03-SE等。護膚品原版正廠,產品品質做到,而且要為全球大陸臺灣市場中帶來了工藝支技,歡迎詞咨詢公司。
內容學習Cyntec請選擇://anchor-appliance.cn/brand/16.html