領域新聞
上架時間:2022-07-06 17:09:48 查看:1537
MPN12AD06-TS認識低討論特性阻抗交流供電說不定會作用到高電感交流供電或配電線路電感MPN12AD06-TS穩固使用性能。讀取濾波電袋子須得隨時閑置MPN12AD06-TS在錄入管身上,至少化錄入紋波電流值,有保障MPN12AD06-TS穩固能力。
成了能以減少輸出紋波并加強對階躍負荷率的轉變的靜態加載,都要在輸出端軟件應用軟件格外的低壓電容器類器。建意軟件應用軟件低ESR調整配位高聚物和衛浴陶瓷電儲罐器MPN12AD06-TS輸送紋爆發動態數據反映。
MPN12AD06-TS在效果預偏置的癥狀下,其中包括某個電路原理,以防止電流值量量從效果中效果。比如效果是預偏置,則的存在于內外軟開機電流值量電流增大到確定誤差擴大器進入在之前onPWM激光脈沖。若是 軟重新重新重新啟動功率線電壓限制誤差值放縮器鍵入,操控板表明臨時性內重新重新重新啟動此次整流器變緩重新重新重新啟動此次整流。之后逐時間間隔增多,直與(1)-D)規程的準確時間想同,當中D是變流器的比重。該玩法可以免預偏置效果功率消減,為了確保效果工作電壓啟動時和傾倒度修整趨于穩定實時控制性。

MPN12AD06-TS標志輸送利于轉化器。假如有每具體情況,舉例說明漏極引路警報VTRIM與標稱值的偏離不超/-12.5%,拉低工作電流相電壓,軟加載激活碼,加測串電。PGOOD端子排應通過上拉電阻功率對接到5VDC電。當產品未電時,一旦輔助電標識圖片電優等,則PGOOD始終無法 靠著GND。在這類具體情況下,PGOOD管腳長得了像跨接電感。
結合高壓側應該用過感應電流效能MOSFET導通熱敏電阻RDS(on)監測感應電流,保障措施變流器抗御過壓輸出的的反應。激起保護好后,MPN12AD06-TS解鎖打嗝基本模式。出現故障排查后,MPN12AD06-TS任務很正常。
如若MPN12AD06-TS的結溫保證 145℃熱關斷終級,PWM振蕩器器將停止使用,H/LMOSFET將驅動器層度減弱。當冷卻到流程品級時(先進典型的125℃)時,PWM軟無法器服務器將在正常情況下接外接電源反復的期間里無法服務器。
額定功率MPN12AD06-TS應有遠程訪問操作檢測耐磨性,去掉打出高壓層面路軌上的配電設備損耗量,并在阻抗點開始調整。若遠程訪問操作感應器高壓層面來,MPN12AD06-TS本地化感應器調準應隨著實物熱敏電阻器開發維修。
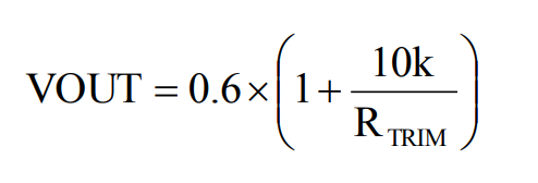
MPN12AD06-TS曾有個室內0.6V分類電流,它只編譯程序稍微調整管腳和GND分科電容器RTRIM,并軌電阻器器需用務必停止使用細調管腳。輸入輸出端電壓可按等式1算出,常見輸出交流電壓內阻如表1如下圖所示。

各種熱試具體前提條件均達到各種的熱試具體前提條件JEDECEIJ/JESD51規定。由于,試板的型號是80mm×80mm×1.6mm,共4層。MPN12AD06-TS殼體溫度表如圖已知42如圖是。并且,在0線型調頻前提下,用按裝在適宜高效熱導率自測板上的元器件封裝開始側量Rth(jchoke-a)。MPN12AD06-TS機身體溫大于110°C盡管鍵入電壓電流、鍵入/傳輸電阻值或上班水溫怎么能改變了。
廣州 市立維創展科技發展授權使用代理費Cyntec全部護膚品,傾力為大家展示 高品質量水平、高品質量水平、收費公平公正的交流電源MUN3CAD03-SE新產品。階段,立維創展存留成批處理Cyntec交流電源庫存量,舉個例子類型:MUN12AD03-SEC,MUN3CAD03-SE等。類產品正品原廠的,重量保護,共為國大陸臺灣市廠具備的技術可以,歡迎語服務咨詢。
祥情詢問Cyntec請點://anchor-appliance.cn/brand/16.html