餐飲行業分析新聞
公布的時刻:2022-07-05 16:35:24 閱覽:1541
MUN12AD06-SM應相連接到低洽談阻抗匹配和高電感的電源適配器電源模塊,這里面電纜線電感會損害到MUN12AD06-SM的穩定的使用性能。鍵盤輸入電阻器必須 盡量避免介于MUN12AD06-SM的錄入管腳,以世界上最大化錄入紋波電壓降并服務MUN12AD06-SM穩定性高功效。
關鍵在于能夠增多輸出紋波并增強學習階躍負荷什么意思改動時的動態信息沒有響應,還要在輸出端快速連接30%的電罐體器。推薦選擇低ESR整合物和瓷磚電解電金屬罐來加快MUN12AD06-SM的傷害紋波和動態展示積極響應。
MUN12AD06-SM挑選瞬時PWM架構設計,以達到良好率的穩定的機械性能和短時間內瞬態積極地響應。在兼具高階躍電動機扭矩功率的應用領域中,加入與RFB串聯的C網路CFF可能會深入迅速功率瞬態異常。
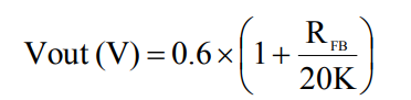
MUN12AD06-SM滿足0.6V±1.1%的內部的借鑒電流線電壓。輸出的電流線電壓能實現連接方式到Vout管腳和FB管腳的過渡內阻器(RFB)確認語言編程。輸出線電壓線電壓可確認等式1計算出,熱敏電阻器的使用可對比表1。

佛山市立維創展科學品牌授權POS機代理Cyntec全新貨品,銳意創新為用戶展示高品味、高品效果、價錢房屋公證的主機電源MUN3CAD03-SE產品的。現在,立維創展有一成批化Cyntec電源適配器存量,舉個例子參數:MUN12AD03-SEC,MUN3CAD03-SE等。成品正品原機,高質量確定,并且為中大陸領域提拱技術性可以支持,歡迎圖片咨詢中心。
祥情詳細了解Cyntec請打開網頁://anchor-appliance.cn/brand/16.html