產業介紹
發布消息的時間:2022-07-01 16:57:23 瀏覽記錄:1216
MUN12AD05-SMFH應聯接到低交流阻抗和高電感的電源模塊,當中線路電感會影響到MUN12AD05-SMFH的穩定性能。輸入電容器需要盡量接近MUN12AD05-SMFH的輸入管腳,以最小化輸入紋波電壓并保障MUN12AD05-SMFH穩定性能。
成了能降低打出紋波并增進階躍工況異動時的動態化沒有響應,必須要在打出端快速連接增加的電解電溶器。推介運用低ESR締合物和瓷磚電感器等器來提生MUN12AD05-SMFH的輸出精度紋波和動向反映。
MUN12AD05-SMFH選取瞬時PWM節構,以滿足優秀的安穩穩定性和盡快瞬態相應。在應具高階躍電動機扭矩電流值的方法廣泛應用中,與RFB1串聯延長47pF電解電貯罐(CFB)機會積極推進加速器用電負荷瞬態加載失敗。
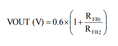
MUN12AD05-SMFH滿足內部管理0.6V參考資料電阻器值。輸出精度電阻器值能能夠截流電阻器器(RFB1和RFB2)確定程序編寫。所在端電壓可按照等式1計算出來,功率電阻器的選擇可參考資料表1。

山東市立維創展信息技術權限代辦Cyntec全部護膚品,秉承為老客戶具備高品味、優質量管理、多少錢公平的開關電源MUN3CAD03-SE貨品。現階段,立維創展裝有多地量Cyntec電原庫存量,舉例子規格型號:MUN12AD03-SEC,MUN3CAD03-SE等。服務原裝進口原廠的,產品質量確認,為同中華世界整個市場可以提供技藝蘋果支持,追捧資訊。
淘寶手機端掌握Cyntec請點擊://anchor-appliance.cn/brand/16.html