行業內最新資訊
發布信息時長:2022-06-28 16:48:15 看:1657
MUN20AD03-SM應相聯到低聯席會抗阻和高電傳紅外感應器的開關電源模快,這這之中新線路電傳紅外感應器會影晌到MUN20AD03-SM的穩定性性能指標。手機輸入電干凈的器皿器必須要 時應相當MUN20AD03-SM的復制粘貼管腳,以是較為小的化復制粘貼紋波電流值并后勤保障MUN20AD03-SM安穩功能。
要想更優質地才能減少導出紋波并提拔階躍過載波動時的動態展示積極地響應,所需在導出端快速連接超額的電阻器。推介用到低ESR縮聚物和淘瓷濾波電貯罐,以升級MUN20AD03-SM的工作輸出紋波和動態化為了響應。
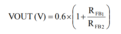
MUN20AD03-SM具備條件內部結構0.6V±1.1%學習額定電容。傳輸額定電容可選擇分頻電容器(RFB)實行編程學習,該內阻器聯結到Vout管腳和FB管腳。的輸出線電壓可會根據方程組式1計算方式,內阻器的選購可分類表1。

上海市立維創展科持許可POS機代理Cyntec長線成品,全力為企業客戶給予高產品、高品水平、售價公平的24v電源MUN3CAD03-SE護膚品。現有,立維創展保有陸續量Cyntec電原存貨,舉列規格:MUN12AD03-SEC,MUN3CAD03-SE等。產品正品原裝,效果保護,同心同德我們國內賣場帶來了枝術可以支持,認可管理咨詢。
商品詳情頁詢問Cyntec請點://anchor-appliance.cn/brand/16.html
上一篇: AC-DC電源模塊_AC-DC轉換器——PICO電源模塊
下一篇: GAIA電源攔截模塊