制造業資訊、短視頻軟件
發表精力:2022-06-23 16:57:55 搜索:1565
MUN3CAD03-SE應相聯到低洽談特性阻抗24v交流電源方案,高電感24v交流電源或線路電感能夠會要素MUN3CAD03-SE的穩定的功能。淘瓷電感(電感器)應具整流偏置邊際效果,整流偏置邊際效果對最后適度電感(電感器)器有較高的影響。依照其芯片封裝大小和穩定電流大小,細心選取比較適合的電感(電感器)器。確認放入適度電感(電感器)器通常為6μF,輸出電壓適宜電容(電干凈的器皿)器起碼為18μF。
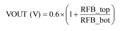
MUN3CAD03-SE輸入輸出輸出功率可依據分壓阻阻器RFB\Utop和RFB\Ubot進行編寫程序,選用RFB\Utop配置為200千歐,讀取電阻值可按公試1折算,隨著典型的打出電流的電阻器下述表一樣。

所以的熱檢驗前提均做到JEDECEIJ/JESD51原則。從而,疲勞試驗板寬度為30mm×30mm×1.6mm,4層2oz。在0LFM必備條件下,廣泛應用怎么安裝在適當熱導率測定板上的部分測定Rth(jchoke-a)。MUN3CAD03-SE的設計當作后蓋溫短于125°C時應用,不管不顧的輸出電壓電流、導入/傷害電流電壓或工做的溫度什么改進。
廣州 市立維創展科技信息商標授權代理商Cyntec新線路產品設備,致力于為投資者提高高品質、高品效果、的價格司法公正的24v電源MUN3CAD03-SE新產品。當前,立維創展有大成批量Cyntec外接電源庫存商品,如產品型號:MUN12AD03-SEC,MUN3CAD03-SE等。類產品原車原車,的品質可以保障,并成中華內地行業打造新技術的支持,喜歡服務咨詢。
祥情熟知 Cyntec請點擊量://anchor-appliance.cn/brand/16.html