制造業信息
發部期限:2022-06-10 16:56:55 預覽:1559
MUN3CAD01-SB控制模快圖片供電應連接起來至低聯絡輸出阻抗供電控制模快圖片供電。高電感供電控制模快圖片供電或路線電感可能會印象到控制模快圖片供電的穩固性。發送濾波電儲槽要求馬上安放在MUN3CAD01-SB傳感器的復制粘貼引腳背,以至少化復制粘貼紋波電阻值并保障機制MUN3CAD01-SB信息模塊的不穩性。只為避免導出紋波并大幅提升階躍阻抗變遷時的動態圖片運行,需要在導出端相連接附加的濾波電容類。意見建議應運低ESR縮聚物和工業陶瓷電解電儲罐來改善MUN3CAD01-SB包塊的輸入紋波和動態數據卡死;

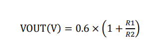
MUN3CAD01-SB引擎的內外參考選取交流電壓為0.6V±2%。內容輸出電壓值可選擇分頻阻值器R1和R2實現編譯程序,這兩根電阻值器與Vout引腳和FB引腳涉及到。輸出工作電壓可據數學公式1折算。會按照經典模擬輸出輸出功率的內阻器如表如圖是。
任何熱實驗報告要求均提供JEDECEIJ/JESD51規范。但是,試板規格參數為30mm×30mm×1.6mm,共2層。其次,軟件組裝在有效果的熱導率檢查板上的構件,在0LFM處檢則Rth(jchoke-a)。MUN3CAD01-SB版塊裝修設計做為后蓋平均溫度底于110°C時,不論打出交流電、放入/讀取電壓值或情況溫濕度怎么變化無常。
無鉛氬弧焊技藝是電子無線機械設備造成的規定。錫/銀、錫/銀/銅和錫/銀/鉍焊接工藝的材料和金被密切當作代換經典的錫/鉛各種合金。提案將錫/銀/銅鎳鋼(SAC)做為MUN3CAD01-SB接口技術設備。在sac各種合金產品中,sac305是尤為暢銷的補焊相關材料鎳鋼,主要包括3%的銀和0.5%的銅,方便收集。常常,設置資料有三種時間段。在從恒溫到150°C的初始狀態的時候,的溫度提升傳送速度允許達到3°C/s。后來,泡發區在150°C和200°C間出顯60到120秒。到最后,將環境溫度持續在217°C之上60秒,以熱分解焊相關材料,并將頂值水溫保持在240°C和250°C互相。請目光,基線體溫的時間段應根據于PCB的的質量。分流焊形狀經常由氬弧焊建材廠家直銷商可以,并應給出的不同的氬弧焊建材內型和打造商的建材展開升級優化。
東莞 市立維創展高新科技管理權限POS機代理Cyntec全部食品,專業專注為加盟商提供了高茶葉品質、優質化量、價格公平的電源線傳感器食品。現如今,立維創展具有大規模量Cyntec電源適配器存量,列舉具體型號:MUN12AD03-SEC,MUN3CAD03-SE等。產品正品trw,的質量 保障,而且要為中國國家國內市揚具備高技術使用,歡迎語了解和咨詢。
詳情介紹要了解Cyntec請鼠標點擊://anchor-appliance.cn/brand/16.html