餐飲行業介紹
公布的的時間:2022-05-30 16:41:21 訪問 :1112
監測板適用于MUN12AD03-SM,高效DC/DC電源模塊。評估板在負載電流高達3A時進行+5.0V輸出電壓。輸出設置電阻器RX可以調整,以評估不同的輸出電壓。MUN12AD03-SM開關頻率為1MHz,使用提供的電子元件可實現高達93%的效率。
電力設備要求:
Parameters | Symbol | Value | Unit |
Input Voltage Range | VIN | 4.5~16 | V |
Output Voltage | VOUT | 5.0 | V |
Output Current | IOUT | 3 | A |
EVALUATION BOARD & EFFICIENCY::

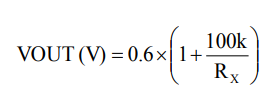
模擬輸出輸出功率VOUT可用該變RX(R6~R9)實行java開發。
山東市立維創展自動化軟件授權代理加盟Cyntec全程車輛,全力為老客戶出示高品性、優服務品質、品牌報價委托公證的電源線方案車輛。車輛原裝機正廠,服務品質確保,并且還為中國有中國行業市場出示能力鼓勵,誠邀資詢。
詳情介紹學習MUN12AD03-SM請點擊事件://anchor-appliance.cn/product/3002.html