產業內容
正式發布日期:2022-05-17 17:01:46 瀏覽器:1790
MUN3CAD03-SE外接供電適配器摸塊應無線連接至低座談會特性阻抗外接供電適配器,高電感外接供電適配器或電壓降線路電感可能性會危害到外接供電適配器摸塊的不穩性。瓷器電感器兼具直流電源偏置效果,這對結果更有效電感有有很大危害。詳盡的選擇宜的電感器,并來考慮其封裝品種尺寸大小和額定功率電壓降。保持輸進高效率的電感合適為6μF,工作輸出效率高電容(電容器)最低為18μF。
電氣開關金橋銅業跨接線的截面積大小:
Parameters | Symbol | Value |
Input Voltage | VIN | 2.75V~5.5V |
Output Voltage | VOUT | 0.6V~3.3V |
Output Current | IOUT | 3A |
Enable Voltage | EN | 1.2V~5V |
External VDD | VDD | 3.3V~5V |

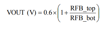
是和用在MUN3CAD03-SE可控式Vout安卓版本。讀取交流電壓可經過分壓阻阻器RFB_top和RFB_bot達到程序設計,假說RFB_top制定為200千歐,輸出相電壓可按關系式1計算出,按照經典輸出端電壓端電壓的電容如表1如圖是。
TI開關電源模塊電源TPS82085因市場大的的的性能和小容積,倍受大量好項目用戶青睞,但己經交期興奮,TPS82085只可以優先權兼顧中大型投資者的實際需求。
Cyntec24v電源控制模塊針對高耐腐蝕性、小體型的市面 滿足市場的需求,于2021年投入市場新車輛MUN3CAD03-SE,以它自由高達94%的電源模塊質量,在短時間內取得賣場的認定,在鋰電瓶、安全服務器主機、AI速度卡、光信息模塊等域過程嚴格的操作試探。而且全pin to pin代用TPS82085。
TPS82085與MUN3CAD03-SE的因素相當詳細:
款型 | 鍵盤輸入端電壓 | 工作輸出電流值 | 交流電 | 速率 |
TPS82085 | 2.5~6V | 0.8~Vin | 3A | 95% |
MUN3CAD03-SE | 2.75~5.5V | 0.6~3.3V | 3A | 94% |
佛山市立維創展科技信息授權文件選擇Cyntec全部產品,銳意創新為雇主作為高茶葉品質、高效率量、銷售市場價格公開的電源控制模塊控制模塊產品。產品原裝機進口的,效率以確保,而且要為中國有中國內地銷售市場作為高技術使用,熱情接待咨訊。
寶貝詳情學習MUN3CAD03-SE請點://anchor-appliance.cn/article/3252.html