職業知識
分享精力:2018-12-06 11:02:13 查看:7953
|
低調 0.3“高度 高達4瓦
無散熱片或 選項可用
|
典型特征:
測式因素:要不是另有表明,要不然的環境平均溫度為25oC,鍵入電壓降為載荷系數值。 方式規律:打出隨便與讀取相對應應。 搜索輸出功率超范圍: 5V款型:4至6.5V DC 12V主要參數:9至15V DC 15V類型:12至18V DC 24V規格:17至28V DC 28V形號:21至31V DC 48V型號:25至50V DC 載滿時的轉換端電壓容差: 5V材質±0.25V 9V主要參數±0.3V 12V和15V參數±0.4V 24V和28V產品型號±0.5V 48V主要參數±0.7V 轉變器頻段: 20至40 KHz 輸出濕度標準值: 0.02%/oC 本職工作體溫: -25oC至+70oC環保攝氏度。不想要熱管cpu散熱器。 保存溫差: -55oC至+125oC 防曬隔離霜: 100兆歐鐘頭。@ 500V DC 跳閘保護英文: 永久性
|
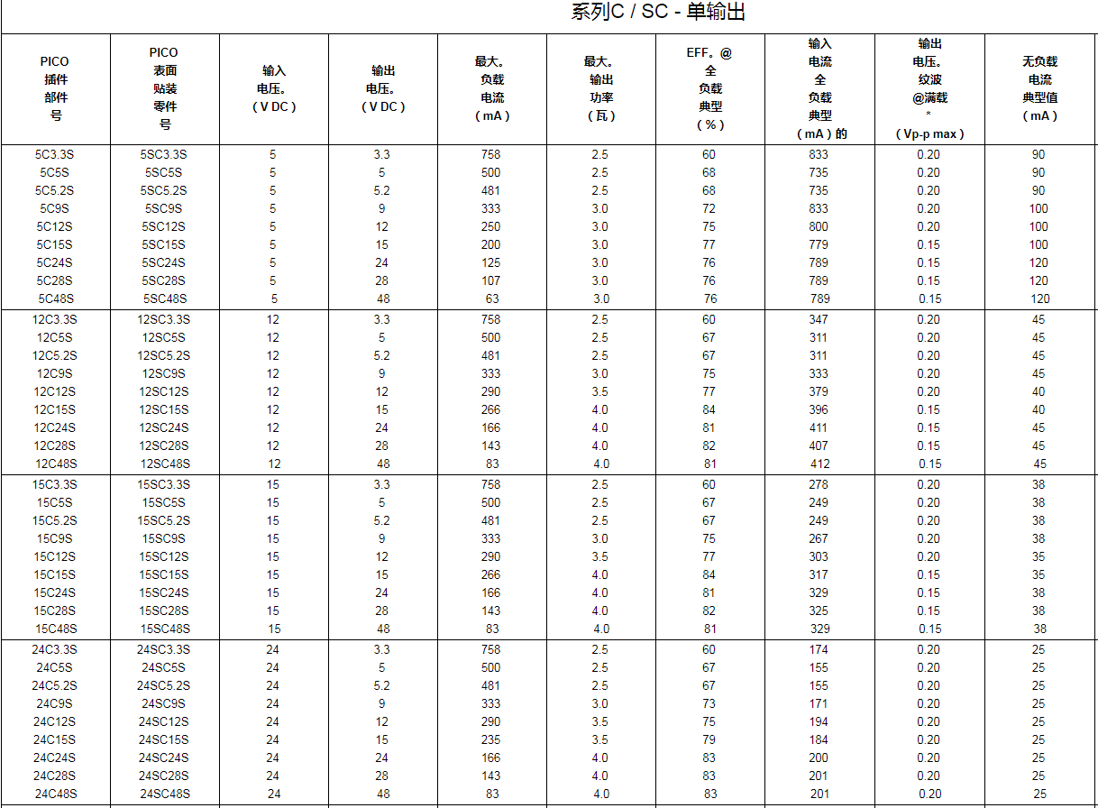
型號以及參數

仍然頁數現有,較多的超大型直流高壓底部隔離式DC-DC轉換成器性能款式與系統適用,請彈窗右下電話客服去聯系小編!!!
更好地涉及的DC-DC轉型器新產品,請點:
低壓薄型DC-DC電源模塊微型封裝單輸出100 至500 V
2.5W小型封裝高可靠性隔離式DC-DC電源模塊3.3 - 48 V